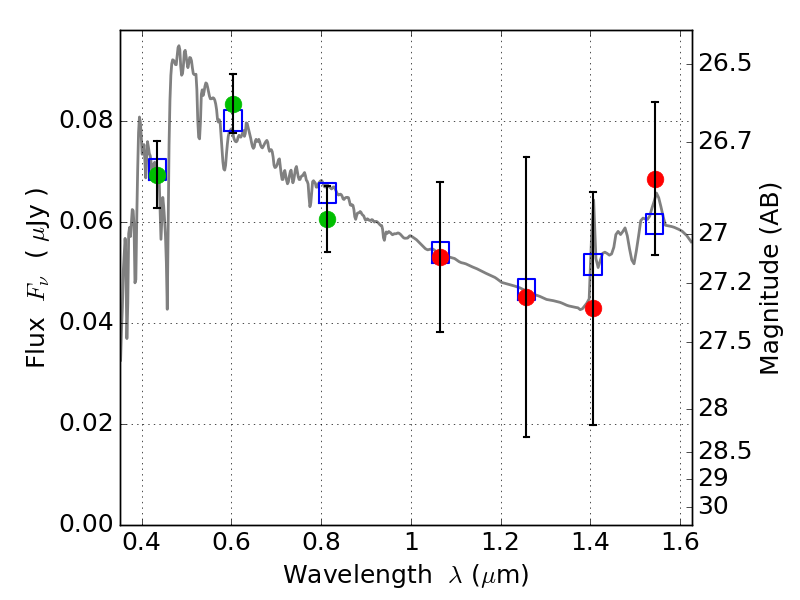
ABELL3192 ACS+IR detection object #4987

Color images and BPZ results
Catalog: 4987.cat
Black segments are analyzed here.   Roll mouse over color images to view segments.
Best viewed in a wide browser window (1200 pixels or more).   Download SED & P(z) plots to view larger versions.
In P(z) plots: Yellow lines mark the cluster redshift z = 0.425,  

Object #4987   x,y = (3114, 1933)   RA, Dec = (03:58:49.320, -29:56:28.68) = (59.70550, -29.94130)   BPZ = 2.773 [1.402--3.018]   type = 10.90 (SB11_A_0_l - SB3_B10)   chisq2 = 0.25   ODDS = 0.67   z_cluster = 0.425