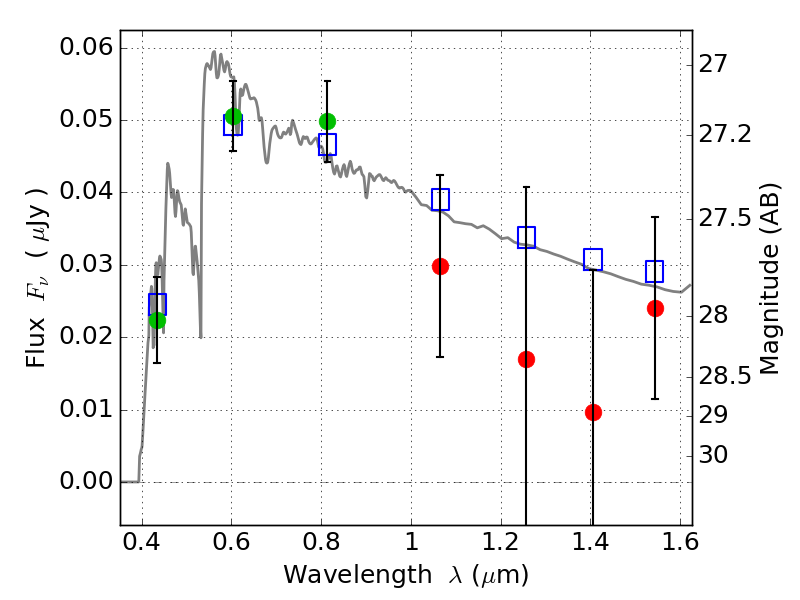
ABELL3192 ACS+IR detection object #4891

Color images and BPZ results
Catalog: 4891.cat
Black segments are analyzed here.   Roll mouse over color images to view segments.
Best viewed in a wide browser window (1200 pixels or more).   Download SED & P(z) plots to view larger versions.
In P(z) plots: Yellow lines mark the cluster redshift z = 0.425,  

Object #4891   x,y = (2368, 1978)   RA, Dec = (03:58:52.752, -29:56:26.16) = (59.71980, -29.94060)   BPZ = 3.377 [0.225--3.636]   type = 11.00 (SB11_A_0_l)   chisq2 = 0.66   ODDS = 0.64   z_cluster = 0.425