ABELL3192 ACS+IR detection object #4606

Color images and BPZ results
Catalog: 4606.cat
Black segments are analyzed here.   Roll mouse over color images to view segments.
Best viewed in a wide browser window (1200 pixels or more).   Download SED & P(z) plots to view larger versions.
In P(z) plots: Yellow lines mark the cluster redshift z = 0.425,  

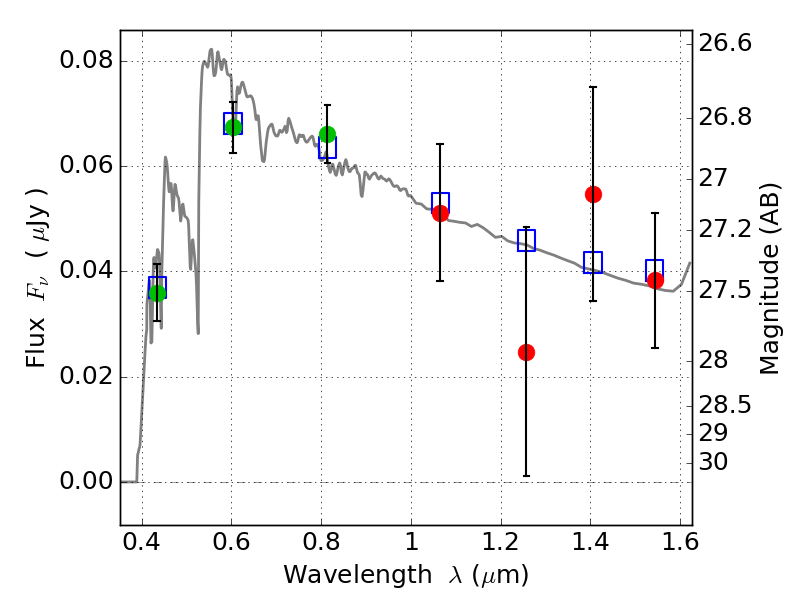
Object #4606   x,y = (1771, 2145)   RA, Dec = (03:58:55.512, -29:56:16.08) = (59.73130, -29.93780)   BPZ = 3.326 [0.282--3.488]   type = 11.00 (SB11_A_0_l)   chisq2 = 0.34   ODDS = 0.70   z_cluster = 0.425