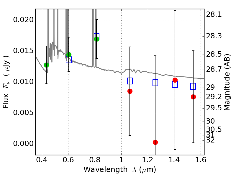
ABELL3192 ACS+IR detection object #3805

Color images and BPZ results
Catalog: 3805.cat
Black segments are analyzed here.   Roll mouse over color images to view segments.
Best viewed in a wide browser window (1200 pixels or more).   Download SED & P(z) plots to view larger versions.
In P(z) plots: Yellow lines mark the cluster redshift z = 0.425,  

Object #3805   x,y = (1580, 2490)   RA, Dec = (03:58:56.400, -29:55:55.20) = (59.73500, -29.93200)   BPZ = 0.201 [0.096--3.296]   type = 11.00 (SB11_A_0_l)   chisq2 = 0.17   ODDS = 0.10   z_cluster = 0.425