ABELL3192 ACS+IR detection object #2624

Color images and BPZ results
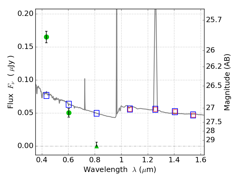
Catalog: 2624.cat
Black segments are analyzed here.   Roll mouse over color images to view segments.
Best viewed in a wide browser window (1200 pixels or more).   Download SED & P(z) plots to view larger versions.
In P(z) plots: Yellow lines mark the cluster redshift z = 0.425,  

Object #2624   x,y = (4265, 3184)   RA, Dec = (03:58:43.992, -29:55:13.80) = (59.68330, -29.92050)   BPZ = 1.593 [1.429--2.099]   type = 11.00 (SB11_A_0_l)   chisq2 = 118.10   ODDS = 0.58   z_cluster = 0.425