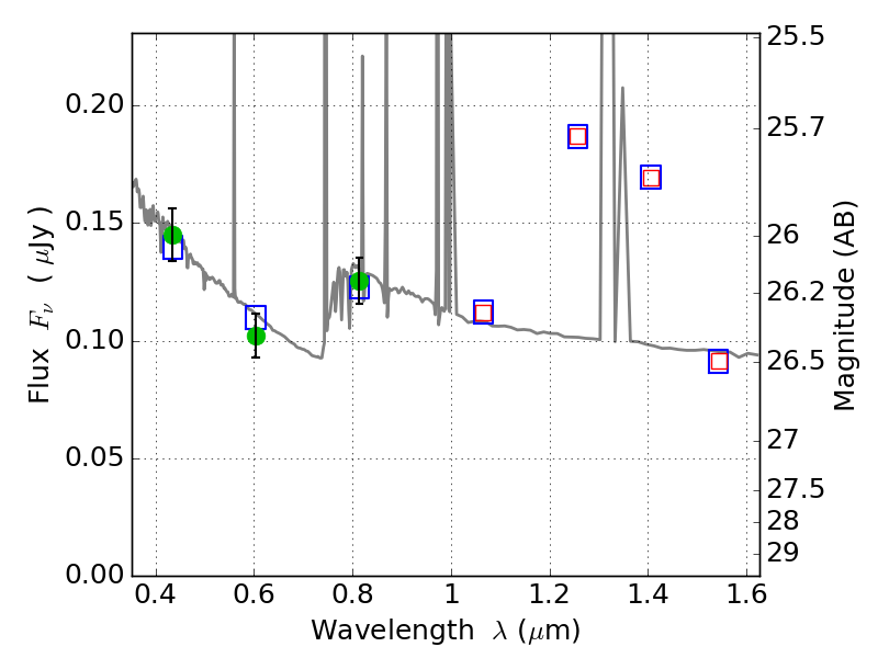
ABELL3192 ACS+IR detection object #2316

Color images and BPZ results
Catalog: 2316.cat
Black segments are analyzed here.   Roll mouse over color images to view segments.
Best viewed in a wide browser window (1200 pixels or more).   Download SED & P(z) plots to view larger versions.
In P(z) plots: Yellow lines mark the cluster redshift z = 0.425,  

Object #2316   x,y = (4286, 3337)   RA, Dec = (03:58:43.896, -29:55:04.44) = (59.68290, -29.91790)   BPZ = 1.003 [0.708--2.201]   type = 11.00 (SB11_A_0_l)   chisq2 = 0.40   ODDS = 0.41   z_cluster = 0.425