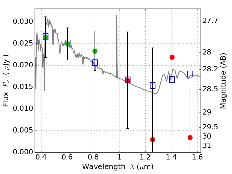
ABELL3192 ACS+IR detection object #2180

Color images and BPZ results
Catalog: 2180.cat
Black segments are analyzed here.   Roll mouse over color images to view segments.
Best viewed in a wide browser window (1200 pixels or more).   Download SED & P(z) plots to view larger versions.
In P(z) plots: Yellow lines mark the cluster redshift z = 0.425,  

Object #2180   x,y = (2771, 3414)   RA, Dec = (03:58:50.904, -29:54:59.76) = (59.71210, -29.91660)   BPZ = 2.510 [0.100--3.034]   type = 11.00 (SB11_A_0_l)   chisq2 = 0.60   ODDS = 0.19   z_cluster = 0.425