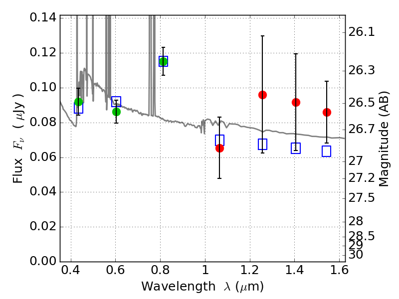
ABELL3192 ACS+IR detection object #2145

Color images and BPZ results
Catalog: 2145.cat
Black segments are analyzed here.   Roll mouse over color images to view segments.
Best viewed in a wide browser window (1200 pixels or more).   Download SED & P(z) plots to view larger versions.
In P(z) plots: Yellow lines mark the cluster redshift z = 0.425,  

Object #2145   x,y = (2117, 3422)   RA, Dec = (03:58:53.904, -29:54:59.40) = (59.72460, -29.91650)   BPZ = 0.154 [0.095--0.952]   type = 11.00 (SB11_A_0_l)   chisq2 = 0.84   ODDS = 0.20   z_cluster = 0.425