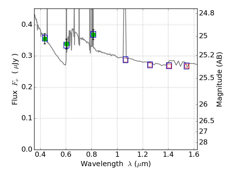
ABELL3192 ACS+IR detection object #1326

Color images and BPZ results
Catalog: 1326.cat
Black segments are analyzed here.   Roll mouse over color images to view segments.
Best viewed in a wide browser window (1200 pixels or more).   Download SED & P(z) plots to view larger versions.
In P(z) plots: Yellow lines mark the cluster redshift z = 0.425,  

Object #1326   x,y = (4240, 3812)   RA, Dec = (03:58:44.112, -29:54:36.00) = (59.68380, -29.91000)   BPZ = 0.622 [0.516--2.408]   type = 11.00 (SB11_A_0_l)   chisq2 = 0.02   ODDS = 0.13   z_cluster = 0.425