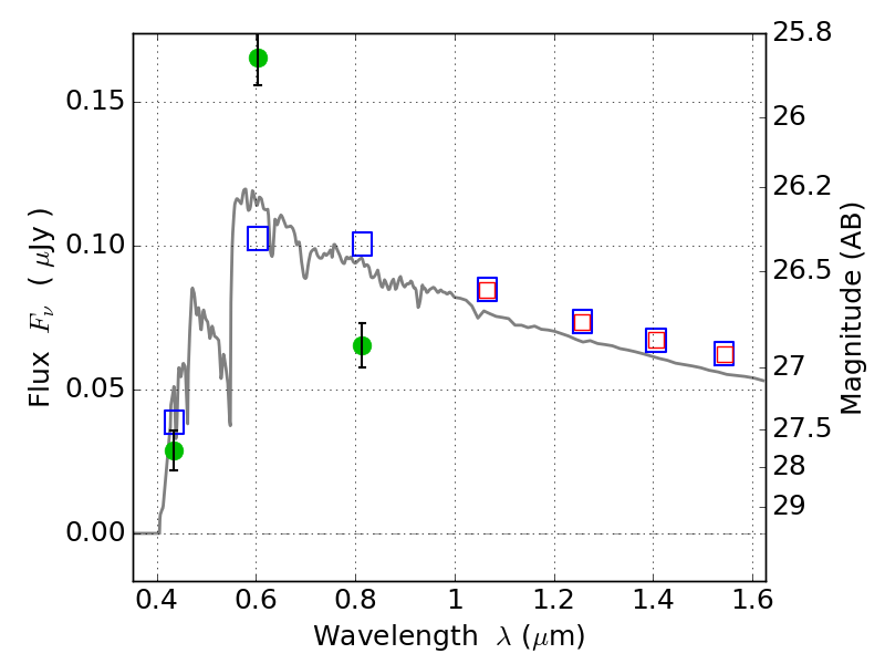
ABELL3192 ACS+IR detection object #1248

Color images and BPZ results
Catalog: 1248.cat
Black segments are analyzed here.   Roll mouse over color images to view segments.
Best viewed in a wide browser window (1200 pixels or more).   Download SED & P(z) plots to view larger versions.
In P(z) plots: Yellow lines mark the cluster redshift z = 0.425,  

Object #1248   x,y = (897, 3869)   RA, Dec = (03:58:59.544, -29:54:32.76) = (59.74810, -29.90910)   BPZ = 3.514 [3.357--3.634]   type = 11.00 (SB11_A_0_l)   chisq2 = 41.19   ODDS = 0.99   z_cluster = 0.425