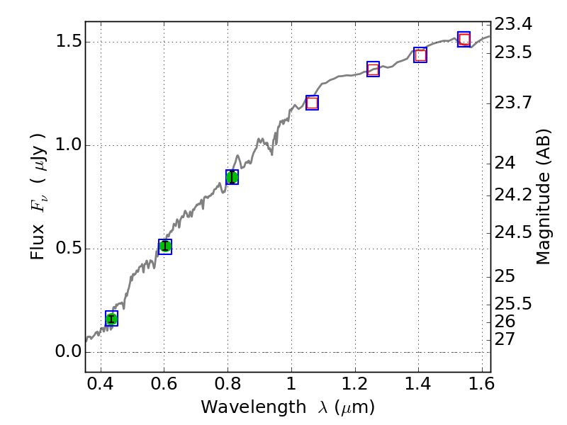
ABELL3192 ACS+IR detection object #963

Color images and BPZ results
Catalog: 963.cat
Black segments are analyzed here.   Roll mouse over color images to view segments.
Best viewed in a wide browser window (1200 pixels or more).   Download SED & P(z) plots to view larger versions.
In P(z) plots: Yellow lines mark the cluster redshift z = 0.425,  

Object #963   x,y = (3946, 3762)   RA, Dec = (03:58:45.480, -29:54:38.88) = (59.68950, -29.91080)   BPZ = 0.098 [0.052--3.388]   type = 4.10 (Ell4_A_0 - ES0_B10)   chisq2 = 0.00   ODDS = 0.57   z_cluster = 0.425