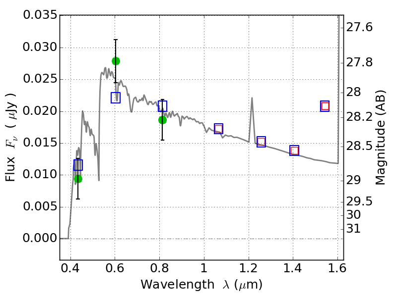
ABELL3192 ACS+IR detection object #5285

Color images and BPZ results
Catalog: 5285.cat
Black segments are analyzed here.   Roll mouse over color images to view segments.
Best viewed in a wide browser window (1200 pixels or more).   Download SED & P(z) plots to view larger versions.
In P(z) plots: Yellow lines mark the cluster redshift z = 0.425,  

Object #5285   x,y = (4034, 695)   RA, Dec = (03:58:45.072, -29:57:43.20) = (59.68780, -29.96200)   BPZ = 3.351 [0.296--3.608]   type = 11.00 (SB11_A_0_l)   chisq2 = 3.56   ODDS = 0.40   z_cluster = 0.425