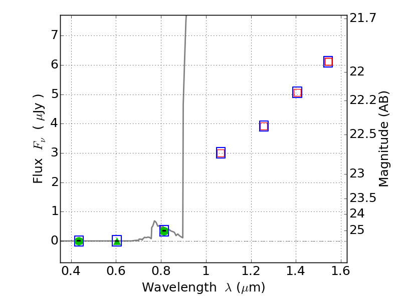
ABELL3192 ACS+IR detection object #475

Color images and BPZ results
Catalog: 475.cat
Black segments are analyzed here.   Roll mouse over color images to view segments.
Best viewed in a wide browser window (1200 pixels or more).   Download SED & P(z) plots to view larger versions.
In P(z) plots: Yellow lines mark the cluster redshift z = 0.425,  

Object #475   x,y = (2990, 4151)   RA, Dec = (03:58:49.872, -29:54:15.84) = (59.70780, -29.90440)   BPZ = 6.384 [5.969--9.091]   type = 6.00 (Sbc_B10)   chisq2 = 0.00   ODDS = 0.37   z_cluster = 0.425