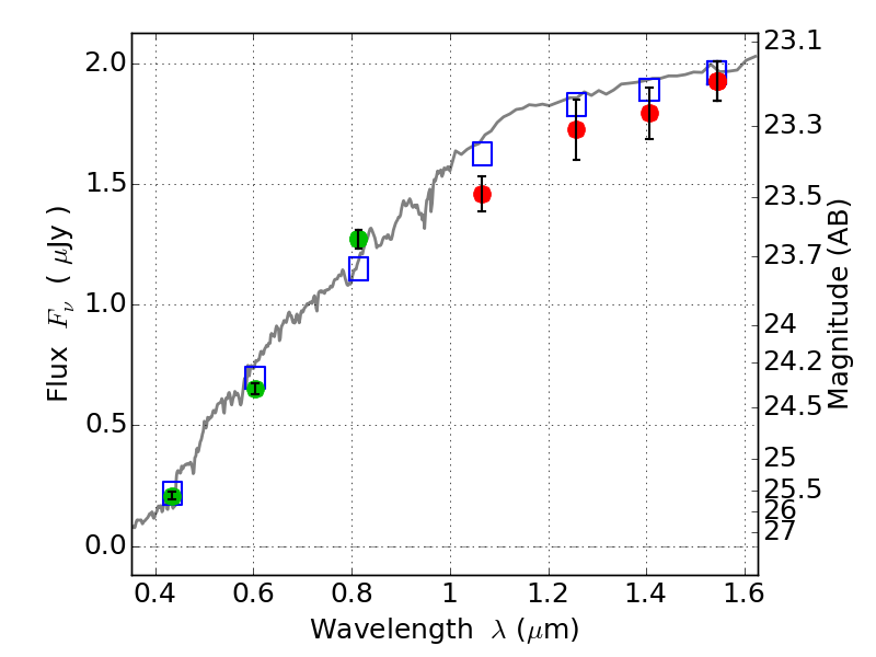
ABELL3192 ACS+IR detection object #3511

Color images and BPZ results
Catalog: 3511.cat
Black segments are analyzed here.   Roll mouse over color images to view segments.
Best viewed in a wide browser window (1200 pixels or more).   Download SED & P(z) plots to view larger versions.
In P(z) plots: Yellow lines mark the cluster redshift z = 0.425,  

Object #3511   x,y = (1463, 2046)   RA, Dec = (03:58:56.928, -29:56:21.84) = (59.73720, -29.93940)   BPZ = 0.111 [0.055--0.147]   type = 4.00 (Ell4_A_0)   chisq2 = 0.54   ODDS = 0.94   z_cluster = 0.425