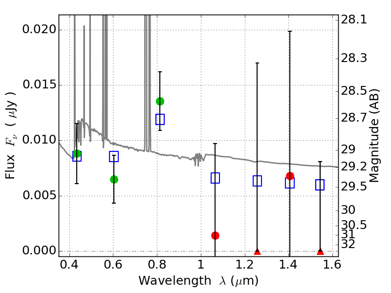
ABELL3192 ACS+IR detection object #3170

Color images and BPZ results
Catalog: 3170.cat
Black segments are analyzed here.   Roll mouse over color images to view segments.
Best viewed in a wide browser window (1200 pixels or more).   Download SED & P(z) plots to view larger versions.
In P(z) plots: Yellow lines mark the cluster redshift z = 0.425,  

Object #3170   x,y = (2073, 2263)   RA, Dec = (03:58:54.120, -29:56:08.88) = (59.72550, -29.93580)   BPZ = 0.140 [0.093--3.285]   type = 11.00 (SB11_A_0_l)   chisq2 = 0.53   ODDS = 0.23   z_cluster = 0.425