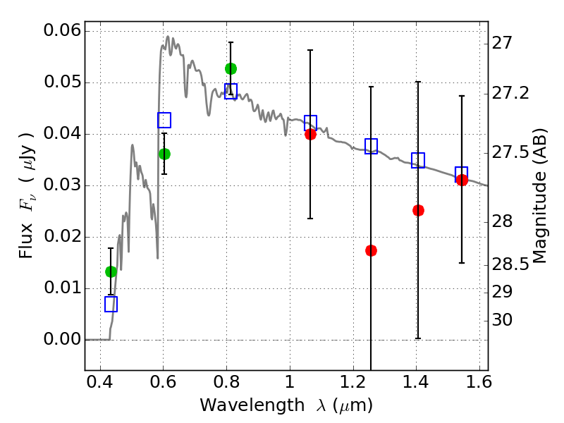
ABELL3192 ACS+IR detection object #2902

Color images and BPZ results
Catalog: 2902.cat
Black segments are analyzed here.   Roll mouse over color images to view segments.
Best viewed in a wide browser window (1200 pixels or more).   Download SED & P(z) plots to view larger versions.
In P(z) plots: Yellow lines mark the cluster redshift z = 0.425,  

Object #2902   x,y = (1251, 2415)   RA, Dec = (03:58:57.912, -29:55:59.88) = (59.74130, -29.93330)   BPZ = 3.800 [0.397--4.161]   type = 10.70 (SB11_A_0_l - SB3_B10)   chisq2 = 0.65   ODDS = 0.67   z_cluster = 0.425