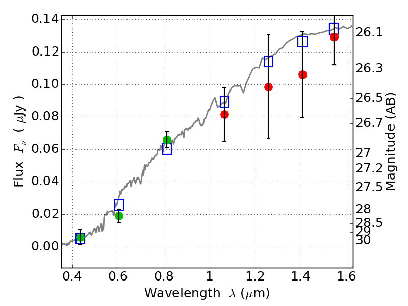
ABELL3192 ACS+IR detection object #2552

Color images and BPZ results
Catalog: 2552.cat
Black segments are analyzed here.   Roll mouse over color images to view segments.
Best viewed in a wide browser window (1200 pixels or more).   Download SED & P(z) plots to view larger versions.
In P(z) plots: Yellow lines mark the cluster redshift z = 0.425,  

Object #2552   x,y = (2067, 2688)   RA, Dec = (03:58:54.144, -29:55:43.68) = (59.72560, -29.92880)   BPZ = 0.354 [0.268--4.668]   type = 3.00 (Ell5_A_0)   chisq2 = 0.30   ODDS = 0.27   z_cluster = 0.425