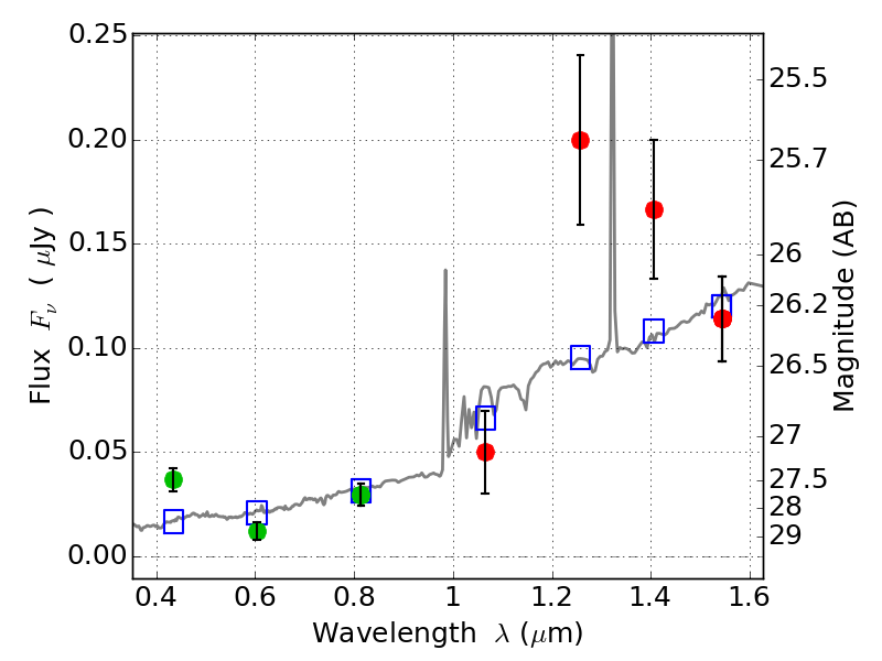
ABELL3192 ACS+IR detection object #1479

Color images and BPZ results
Catalog: 1479.cat
Black segments are analyzed here.   Roll mouse over color images to view segments.
Best viewed in a wide browser window (1200 pixels or more).   Download SED & P(z) plots to view larger versions.
In P(z) plots: Yellow lines mark the cluster redshift z = 0.425,  

Object #1479   x,y = (2689, 3421)   RA, Dec = (03:58:51.264, -29:54:59.40) = (59.71360, -29.91650)   BPZ = 1.637 [1.315--2.198]   type = 7.50 (SB1_B10 - Scd_B10)   chisq2 = 2.18   ODDS = 0.39   z_cluster = 0.425