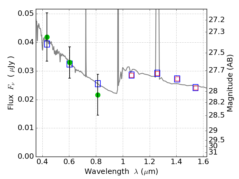
ABELL2537 ACS+IR detection object #3173

Color images and BPZ results
Catalog: 3173.cat
Black segments are analyzed here.   Roll mouse over color images to view segments.
Best viewed in a wide browser window (1200 pixels or more).   Download SED & P(z) plots to view larger versions.
In P(z) plots: Yellow lines mark the cluster redshift z = 0.297,  

Object #3173   x,y = (4251, 2567)   RA, Dec = (23:08:16.608, -2:11:54.60) = (347.06920, -2.19850)   BPZ = 1.594 [0.742--2.780]   type = 11.00 (SB11_A_0_l)   chisq2 = 0.34   ODDS = 0.15   z_cluster = 0.297