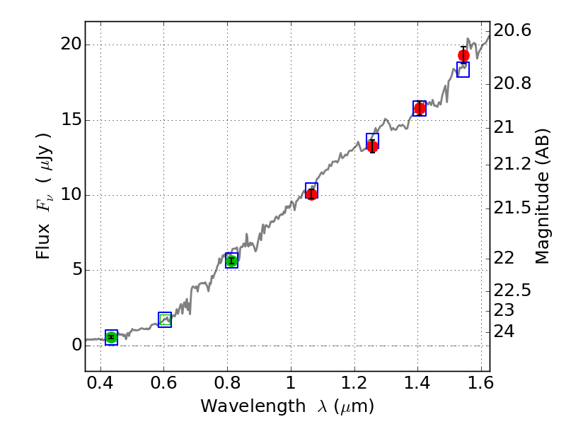
ABELL2537 IR detection object #345

Color images and BPZ results
Catalog: 345.cat
Black segments are analyzed here.   Roll mouse over color images to view segments.
Best viewed in a wide browser window (1200 pixels or more).   Download SED & P(z) plots to view larger versions.
In P(z) plots: Yellow lines mark the cluster redshift z = 0.297,  

Object #345   x,y = (1485, 2773)   RA, Dec = (23:08:25.704, -2:11:12.12) = (347.10710, -2.18670)   BPZ = 0.725 [0.582--0.814]   type = 5.80 (Sbc_B10 - ES0_B10)   chisq2 = 0.20   ODDS = 0.72   z_cluster = 0.297