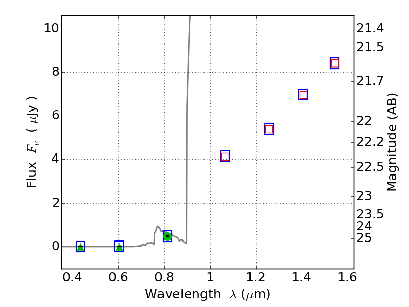
ABELL2537 ACS+IR detection object #5422

Color images and BPZ results
Catalog: 5422.cat
Black segments are analyzed here.   Roll mouse over color images to view segments.
Best viewed in a wide browser window (1200 pixels or more).   Download SED & P(z) plots to view larger versions.
In P(z) plots: Yellow lines mark the cluster redshift z = 0.297,  

Object #5422   x,y = (3712, 491)   RA, Dec = (23:08:16.776, -2:13:29.28) = (347.06990, -2.22480)   BPZ = 6.385 [5.978--9.016]   type = 6.00 (Sbc_B10)   chisq2 = 0.00   ODDS = 0.38   z_cluster = 0.297