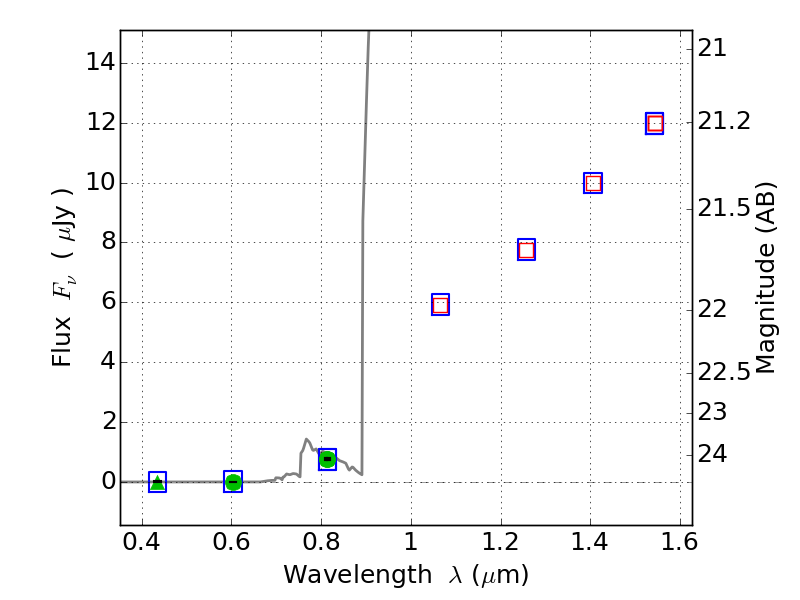
ABELL2537 ACS+IR detection object #3605

Color images and BPZ results
Catalog: 3605.cat
Black segments are analyzed here.   Roll mouse over color images to view segments.
Best viewed in a wide browser window (1200 pixels or more).   Download SED & P(z) plots to view larger versions.
In P(z) plots: Yellow lines mark the cluster redshift z = 0.297,  

Object #3605   x,y = (4129, 1914)   RA, Dec = (23:08:15.120, -2:12:03.60) = (347.06300, -2.20100)   BPZ = 6.340 [6.030--8.899]   type = 6.00 (Sbc_B10)   chisq2 = 0.00   ODDS = 0.43   z_cluster = 0.297