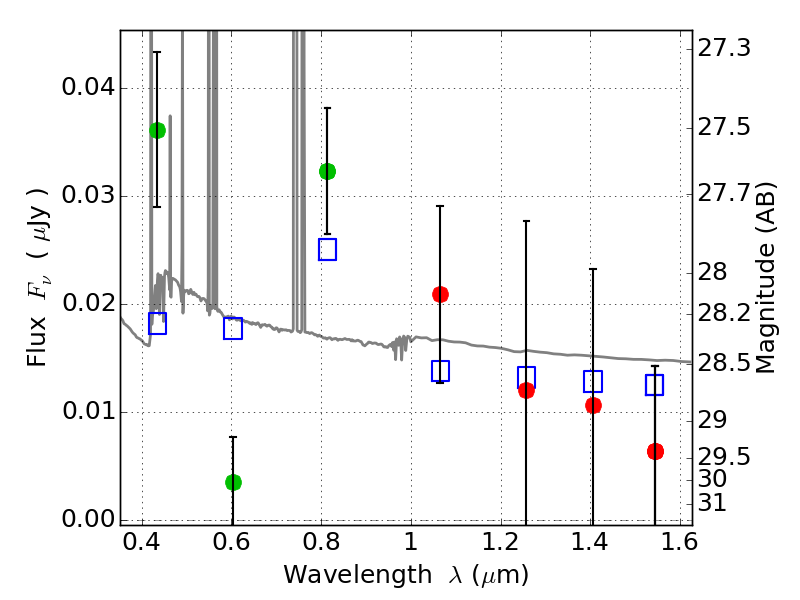
ABELL2537 ACS+IR detection object #1240

Color images and BPZ results
Catalog: 1240.cat
Black segments are analyzed here.   Roll mouse over color images to view segments.
Best viewed in a wide browser window (1200 pixels or more).   Download SED & P(z) plots to view larger versions.
In P(z) plots: Yellow lines mark the cluster redshift z = 0.297,  

Object #1240   x,y = (3108, 3384)   RA, Dec = (23:08:19.200, -2:10:35.40) = (347.08000, -2.17650)   BPZ = 0.129 [0.090--1.064]   type = 11.00 (SB11_A_0_l)   chisq2 = 3.04   ODDS = 0.37   z_cluster = 0.297