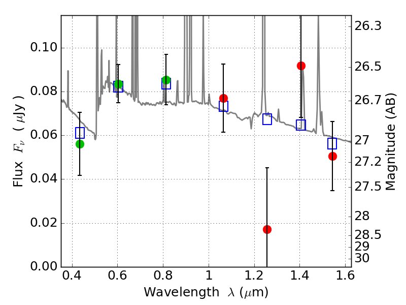
ABELL2537 ACS+IR detection object #2141

Color images and BPZ results
Catalog: 2141.cat
Black segments are analyzed here.   Roll mouse over color images to view segments.
Best viewed in a wide browser window (1200 pixels or more).   Download SED & P(z) plots to view larger versions.
In P(z) plots: Yellow lines mark the cluster redshift z = 0.297,  

Object #2141   x,y = (2482, 3065)   RA, Dec = (23:08:23.712, -2:11:24.72) = (347.09880, -2.19020)   BPZ = 0.368 [0.103--3.474]   type = 10.50 (SB11_A_0_l - SB3_B10)   chisq2 = 1.16   ODDS = 0.28   z_cluster = 0.297