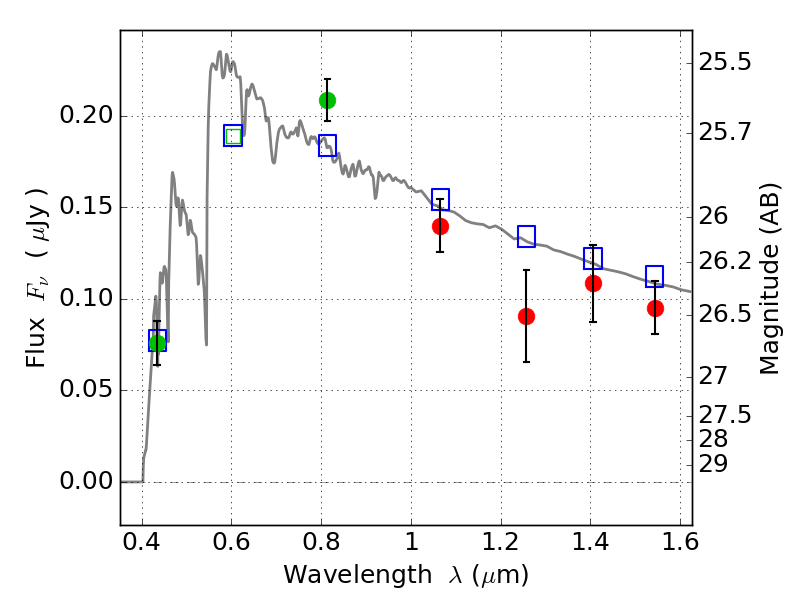
ABELL2537 ACS+IR detection object #1868

Color images and BPZ results
Catalog: 1868.cat
Black segments are analyzed here.   Roll mouse over color images to view segments.
Best viewed in a wide browser window (1200 pixels or more).   Download SED & P(z) plots to view larger versions.
In P(z) plots: Yellow lines mark the cluster redshift z = 0.297,  

Object #1868   x,y = (1803, 3379)   RA, Dec = (23:08:26.424, -2:11:05.64) = (347.11010, -2.18490)   BPZ = 3.477 [0.286--3.604]   type = 11.00 (SB11_A_0_l)   chisq2 = 2.06   ODDS = 0.94   z_cluster = 0.297