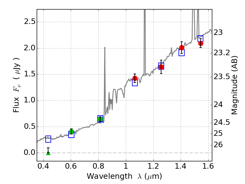
ABELL2163 IR detection object #1494

Color images and BPZ results
Catalog: 1494.cat
Black segments are analyzed here.   Roll mouse over color images to view segments.
Best viewed in a wide browser window (1200 pixels or more).   Download SED & P(z) plots to view larger versions.
In P(z) plots: Yellow lines mark the cluster redshift z = 0.203,  

Object #1494   x,y = (5148, 2983)   RA, Dec = (16:15:38.784, -6:09:25.92) = (243.91160, -6.15720)   BPZ = 1.273 [1.050--1.476]   type = 7.40 (Scd_B10 - SB1_B10)   chisq2 = 0.54   ODDS = 0.67   z_cluster = 0.203