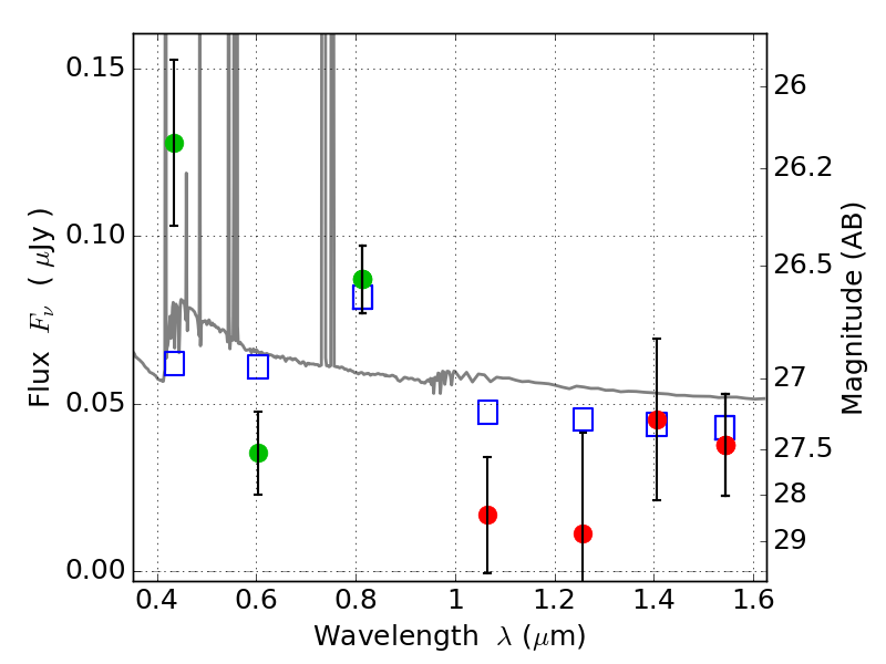
ABELL2163 ACS+IR detection object #7273

Color images and BPZ results
Catalog: 7273.cat
Black segments are analyzed here.   Roll mouse over color images to view segments.
Best viewed in a wide browser window (1200 pixels or more).   Download SED & P(z) plots to view larger versions.
In P(z) plots: Yellow lines mark the cluster redshift z = 0.203,  

Object #7273   x,y = (4568, 2022)   RA, Dec = (16:15:41.112, -6:10:23.52) = (243.92130, -6.17320)   BPZ = 0.117 [0.086--0.264]   type = 11.00 (SB11_A_0_l)   chisq2 = 1.93   ODDS = 0.66   z_cluster = 0.203