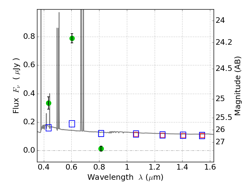
ABELL2163 ACS+IR detection object #628

Color images and BPZ results
Catalog: 628.cat
Black segments are analyzed here.   Roll mouse over color images to view segments.
Best viewed in a wide browser window (1200 pixels or more).   Download SED & P(z) plots to view larger versions.
In P(z) plots: Yellow lines mark the cluster redshift z = 0.203,  

Object #628   x,y = (3380, 1171)   RA, Dec = (16:15:45.912, -6:11:14.64) = (243.94130, -6.18740)   BPZ = 0.017 [0.010--0.036]   type = 11.00 (SB11_A_0_l)   chisq2 = 190.30   ODDS = 1.00   z_cluster = 0.203