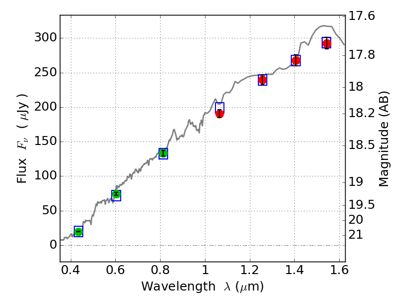
ABELL2163 ACS+IR detection object #5831

Color images and BPZ results
Catalog: 5831.cat
Black segments are analyzed here.   Roll mouse over color images to view segments.
Best viewed in a wide browser window (1200 pixels or more).   Download SED & P(z) plots to view larger versions.
In P(z) plots: Yellow lines mark the cluster redshift z = 0.203,  

Object #5831   x,y = (4295, 3050)   RA, Dec = (16:15:42.216, -6:09:21.60) = (243.92590, -6.15600)   BPZ = 0.145 [0.109--0.173]   type = 4.70 (ES0_B10 - Ell4_A_0)   chisq2 = 0.02   ODDS = 0.99   z_cluster = 0.203