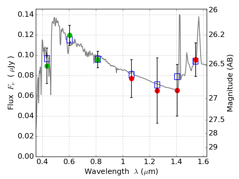
ABELL2163 ACS+IR detection object #4902

Color images and BPZ results
Catalog: 4902.cat
Black segments are analyzed here.   Roll mouse over color images to view segments.
Best viewed in a wide browser window (1200 pixels or more).   Download SED & P(z) plots to view larger versions.
In P(z) plots: Yellow lines mark the cluster redshift z = 0.203,  

Object #4902   x,y = (3037, 3302)   RA, Dec = (16:15:47.280, -6:09:06.48) = (243.94700, -6.15180)   BPZ = 2.819 [2.368--3.161]   type = 10.70 (SB11_A_0_l - SB3_B10)   chisq2 = 0.08   ODDS = 0.60   z_cluster = 0.203