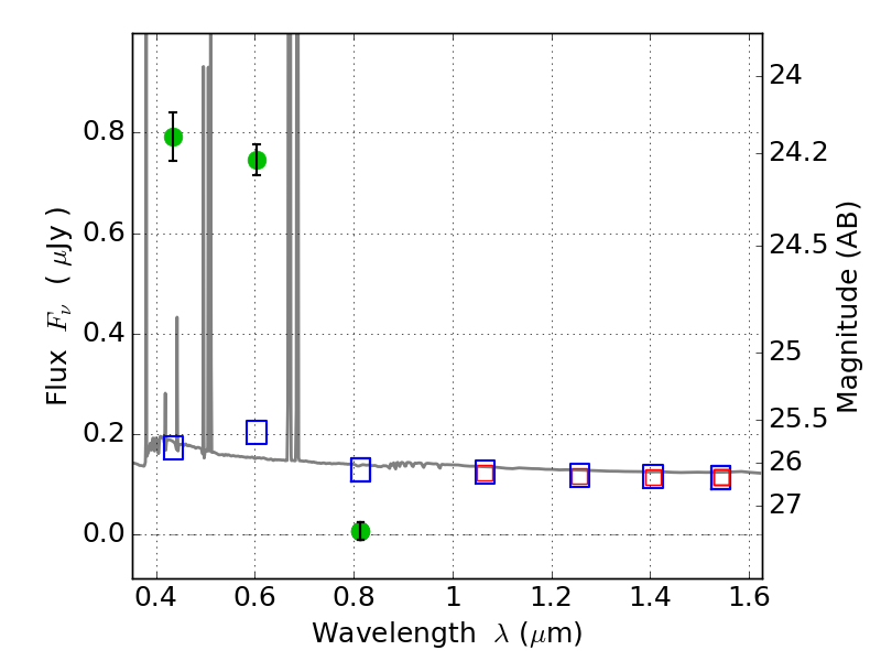
ABELL2163 ACS+IR detection object #4643

Color images and BPZ results
Catalog: 4643.cat
Black segments are analyzed here.   Roll mouse over color images to view segments.
Best viewed in a wide browser window (1200 pixels or more).   Download SED & P(z) plots to view larger versions.
In P(z) plots: Yellow lines mark the cluster redshift z = 0.203,  

Object #4643   x,y = (1334, 3480)   RA, Dec = (16:15:54.144, -6:08:56.04) = (243.97560, -6.14890)   BPZ = 0.017 [0.010--0.035]   type = 11.00 (SB11_A_0_l)   chisq2 = 251.50   ODDS = 1.00   z_cluster = 0.203