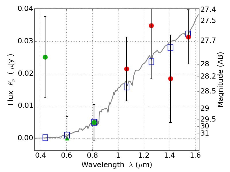
ABELL2163 IR detection object #665

Color images and BPZ results
Catalog: 665.cat
Black segments are analyzed here.   Roll mouse over color images to view segments.
Best viewed in a wide browser window (1200 pixels or more).   Download SED & P(z) plots to view larger versions.
In P(z) plots: Yellow lines mark the cluster redshift z = 0.203,  

Object #665   x,y = (3831, 4499)   RA, Dec = (16:15:44.088, -6:07:54.84) = (243.93370, -6.13190)   BPZ = 1.144 [0.536--6.789]   type = 3.00 (Ell5_A_0)   chisq2 = 0.85   ODDS = 0.12   z_cluster = 0.203