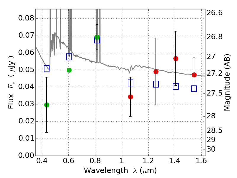
ABELL2163 IR detection object #476

Color images and BPZ results
Catalog: 476.cat
Black segments are analyzed here.   Roll mouse over color images to view segments.
Best viewed in a wide browser window (1200 pixels or more).   Download SED & P(z) plots to view larger versions.
In P(z) plots: Yellow lines mark the cluster redshift z = 0.203,  

Object #476   x,y = (3559, 4721)   RA, Dec = (16:15:45.192, -6:07:41.52) = (243.93830, -6.12820)   BPZ = 0.237 [0.109--4.114]   type = 11.00 (SB11_A_0_l)   chisq2 = 0.73   ODDS = 0.26   z_cluster = 0.203