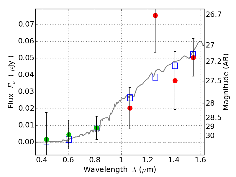
ABELL2163 IR detection object #402
Color images and BPZ results
Catalog: 402.cat
Black segments are analyzed here. Roll mouse over color images to view segments.
Best viewed in a wide browser window (1200 pixels or more). Download SED & P(z) plots to view larger versions.
In P(z) plots: Yellow lines mark the cluster redshift z = 0.203,
Object #402 x,y = (3924, 4886) RA, Dec = (16:15:43.704, -6:07:31.44) = (243.93210, -6.12540) BPZ = 1.113 [0.616--6.220] type = 3.00 (Ell5_A_0) chisq2 = 0.56 ODDS = 0.15 z_cluster = 0.203