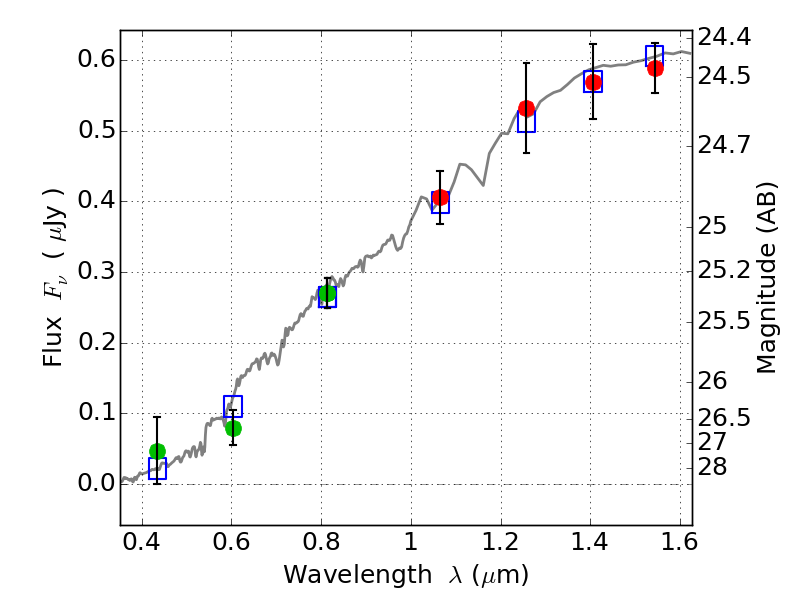
ABELL2163 IR detection object #1722

Color images and BPZ results
Catalog: 1722.cat
Black segments are analyzed here.   Roll mouse over color images to view segments.
Best viewed in a wide browser window (1200 pixels or more).   Download SED & P(z) plots to view larger versions.
In P(z) plots: Yellow lines mark the cluster redshift z = 0.203,  

Object #1722   x,y = (5446, 2649)   RA, Dec = (16:15:37.584, -6:09:45.72) = (243.90660, -6.16270)   BPZ = 0.361 [0.245--0.987]   type = 2.50 (Ell5_A_0 - Ell6_A_0)   chisq2 = 0.13   ODDS = 0.43   z_cluster = 0.203