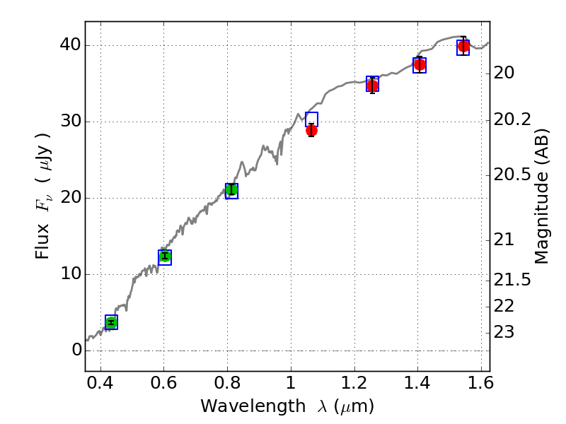
ABELL2163 IR detection object #1624

Color images and BPZ results
Catalog: 1624.cat
Black segments are analyzed here.   Roll mouse over color images to view segments.
Best viewed in a wide browser window (1200 pixels or more).   Download SED & P(z) plots to view larger versions.
In P(z) plots: Yellow lines mark the cluster redshift z = 0.203,  

Object #1624   x,y = (5599, 2803)   RA, Dec = (16:15:36.960, -6:09:36.36) = (243.90400, -6.16010)   BPZ = 0.120 [0.073--0.165]   type = 4.20 (Ell4_A_0 - ES0_B10)   chisq2 = 0.05   ODDS = 0.95   z_cluster = 0.203