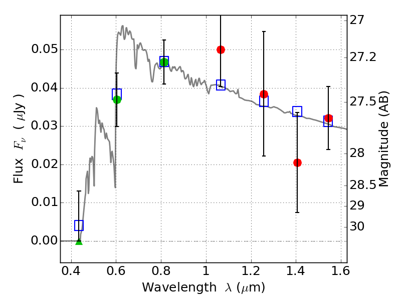
ABELL2163 IR detection object #1512

Color images and BPZ results
Catalog: 1512.cat
Black segments are analyzed here.   Roll mouse over color images to view segments.
Best viewed in a wide browser window (1200 pixels or more).   Download SED & P(z) plots to view larger versions.
In P(z) plots: Yellow lines mark the cluster redshift z = 0.203,  

Object #1512   x,y = (4046, 3027)   RA, Dec = (16:15:43.224, -6:09:23.04) = (243.93010, -6.15640)   BPZ = 3.906 [0.254--4.317]   type = 10.70 (SB11_A_0_l - SB3_B10)   chisq2 = 0.33   ODDS = 0.52   z_cluster = 0.203