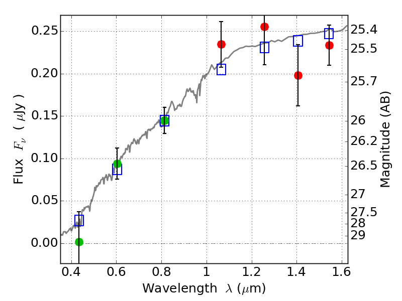
ABELL2163 IR detection object #1298
Color images and BPZ results
Catalog: 1298.cat
Black segments are analyzed here. Roll mouse over color images to view segments.
Best viewed in a wide browser window (1200 pixels or more). Download SED & P(z) plots to view larger versions.
In P(z) plots: Yellow lines mark the cluster redshift z = 0.203,
Object #1298 x,y = (4176, 3367) RA, Dec = (16:15:42.696, -6:09:02.88) = (243.92790, -6.15080) BPZ = 0.116 [0.046--3.898] type = 4.00 (Ell4_A_0) chisq2 = 0.49 ODDS = 0.18 z_cluster = 0.203