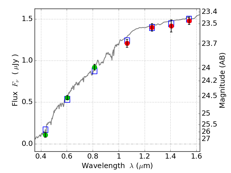
ABELL1763 IR detection object #1152

Color images and BPZ results
Catalog: 1152.cat
Black segments are analyzed here.   Roll mouse over color images to view segments.
Best viewed in a wide browser window (1200 pixels or more).   Download SED & P(z) plots to view larger versions.
In P(z) plots: Yellow lines mark the cluster redshift z = 0.228,  

Object #1152   x,y = (2569, 2728)   RA, Dec = (13:35:18.432, 41:00:08.64) = (203.82680, 41.00240)   BPZ = 0.109 [0.061--0.381]   type = 4.00 (Ell4_A_0)   stellarity = 0.02   chisq2 = 0.18   ODDS = 0.89   z_cluster = 0.228