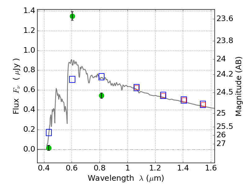
ABELL1763 ACS+IR detection object #1294

Color images and BPZ results
Catalog: 1294.cat
Black segments are analyzed here.   Roll mouse over color images to view segments.
Best viewed in a wide browser window (1200 pixels or more).   Download SED & P(z) plots to view larger versions.
In P(z) plots: Yellow lines mark the cluster redshift z = 0.228,  

Object #1294   x,y = (4165, 3520)   RA, Dec = (13:35:09.960, 41:00:56.16) = (203.79150, 41.01560)   BPZ = 3.669 [3.623--3.738]   type = 11.00 (SB11_A_0_l)   chisq2 = 116.99   ODDS = 1.00   z_cluster = 0.228