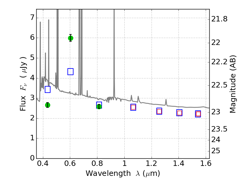
ABELL1763 ACS+IR detection object #6802

Color images and BPZ results
Catalog: 6802.cat
Black segments are analyzed here.   Roll mouse over color images to view segments.
Best viewed in a wide browser window (1200 pixels or more).   Download SED & P(z) plots to view larger versions.
In P(z) plots: Yellow lines mark the cluster redshift z = 0.228,  

Object #6802   x,y = (2445, 462)   RA, Dec = (13:35:19.080, 40:57:52.56) = (203.82950, 40.96460)   BPZ = 0.016 [0.010--0.032]   type = 10.90 (SB11_A_0_l - SB3_B10)   chisq2 = 31.09   ODDS = 1.00   z_cluster = 0.228