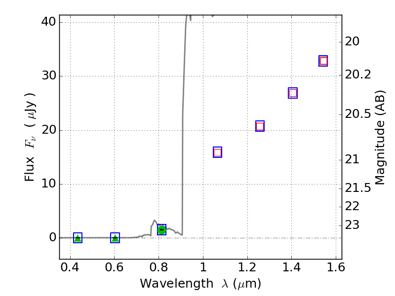
ABELL1763 ACS+IR detection object #4285

Color images and BPZ results
Catalog: 4285.cat
Black segments are analyzed here.   Roll mouse over color images to view segments.
Best viewed in a wide browser window (1200 pixels or more).   Download SED & P(z) plots to view larger versions.
In P(z) plots: Yellow lines mark the cluster redshift z = 0.228,  

Object #4285   x,y = (289, 2057)   RA, Dec = (13:35:30.504, 40:59:28.32) = (203.87710, 40.99120)   BPZ = 6.469 [6.154--8.768]   type = 6.00 (Sbc_B10)   chisq2 = 0.00   ODDS = 0.45   z_cluster = 0.228