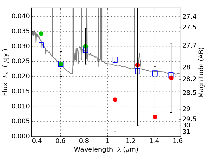
ABELL1763 ACS+IR detection object #1567

Color images and BPZ results
Catalog: 1567.cat
Black segments are analyzed here.   Roll mouse over color images to view segments.
Best viewed in a wide browser window (1200 pixels or more).   Download SED & P(z) plots to view larger versions.
In P(z) plots: Yellow lines mark the cluster redshift z = 0.228,  

Object #1567   x,y = (1943, 3517)   RA, Dec = (13:35:21.744, 41:00:55.80) = (203.84060, 41.01550)   BPZ = 0.905 [0.107--2.977]   type = 11.00 (SB11_A_0_l)   chisq2 = 0.37   ODDS = 0.11   z_cluster = 0.228