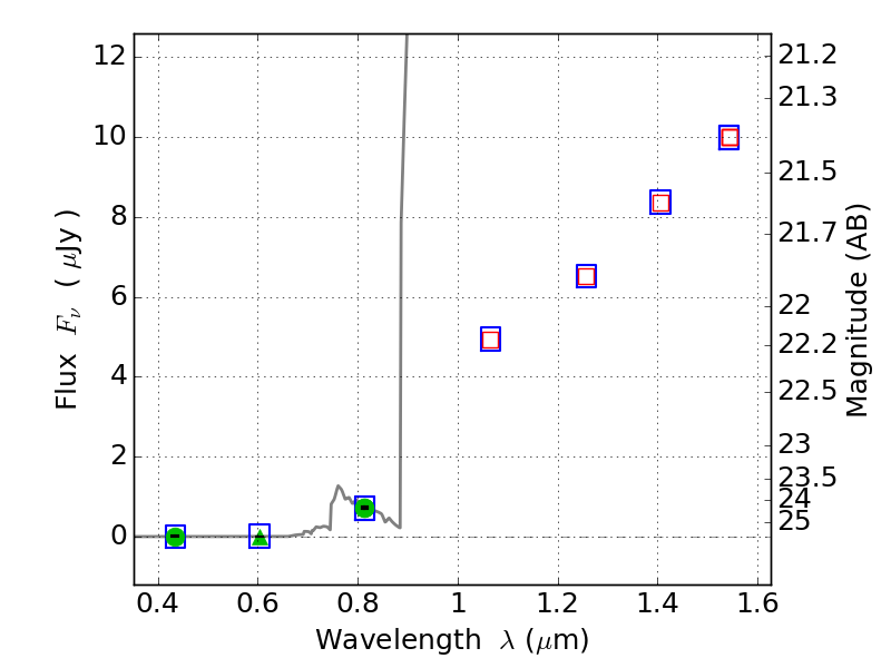
ABELL1763 ACS+IR detection object #1443

Color images and BPZ results
Catalog: 1443.cat
Black segments are analyzed here.   Roll mouse over color images to view segments.
Best viewed in a wide browser window (1200 pixels or more).   Download SED & P(z) plots to view larger versions.
In P(z) plots: Yellow lines mark the cluster redshift z = 0.228,  

Object #1443   x,y = (4245, 3472)   RA, Dec = (13:35:09.552, 41:00:53.28) = (203.78980, 41.01480)   BPZ = 6.280 [5.916--8.916]   type = 6.00 (Sbc_B10)   chisq2 = 0.00   ODDS = 0.38   z_cluster = 0.228