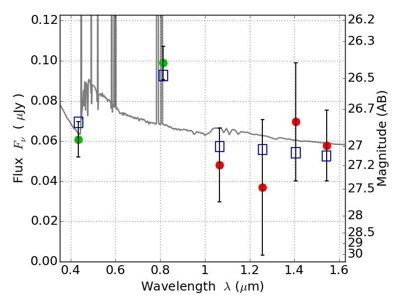
ABELL1763 ACS+IR detection object #1890

Color images and BPZ results
Catalog: 1890.cat
Black segments are analyzed here.   Roll mouse over color images to view segments.
Best viewed in a wide browser window (1200 pixels or more).   Download SED & P(z) plots to view larger versions.
In P(z) plots: Yellow lines mark the cluster redshift z = 0.228,  

Object #1890   x,y = (2348, 3202)   RA, Dec = (13:35:19.872, 41:00:39.96) = (203.83280, 41.01110)   BPZ = 0.203 [0.102--3.300]   type = 11.00 (SB11_A_0_l)   chisq2 = 0.62   ODDS = 0.33   z_cluster = 0.228