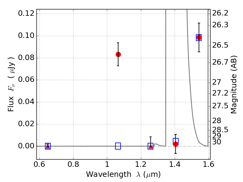
ABELL1763-PAR IR detection object #734

Color images and BPZ results
Catalog: 734.cat
Black segments are analyzed here.   Roll mouse over color images to view segments.
Best viewed in a wide browser window (1200 pixels or more).   Download SED & P(z) plots to view larger versions.
In P(z) plots: Yellow lines mark the cluster redshift z = 0.228,  

Object #734   x,y = (2974, 3638)   RA, Dec = (13:35:12.576, 40:55:05.52) = (203.80240, 40.91820)   BPZ = 12.156 [4.793--12.948]   type = 9.00 (SB2_B10)   chisq2 = 22.80   ODDS = 0.68   z_cluster = 0.228