ABELL1763-PAR IR detection object #2801

Color images and BPZ results
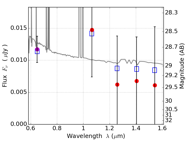
Catalog: 2801.cat
Black segments are analyzed here.   Roll mouse over color images to view segments.
Best viewed in a wide browser window (1200 pixels or more).   Download SED & P(z) plots to view larger versions.
In P(z) plots: Yellow lines mark the cluster redshift z = 0.228,  

Object #2801   x,y = (3611, 2175)   RA, Dec = (13:35:09.216, 40:53:37.68) = (203.78840, 40.89380)   BPZ = 0.482 [0.139--3.751]   type = 11.00 (SB11_A_0_l)   chisq2 = 0.14   ODDS = 0.06   z_cluster = 0.228