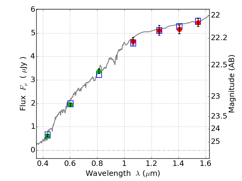
ABELL1758 IR detection object #365

Color images and BPZ results
Catalog: 365.cat
Black segments are analyzed here.   Roll mouse over color images to view segments.
Best viewed in a wide browser window (1200 pixels or more).   Download SED & P(z) plots to view larger versions.
In P(z) plots: Yellow lines mark the cluster redshift z = 0.280,  

Object #365   x,y = (5696, 4957)   RA, Dec = (13:32:34.320, 50:34:00.48) = (203.14300, 50.56680)   BPZ = 0.091 [0.042--0.130]   type = 3.80 (Ell4_A_0 - Ell5_A_0)   chisq2 = 0.07   ODDS = 0.95   z_cluster = 0.280