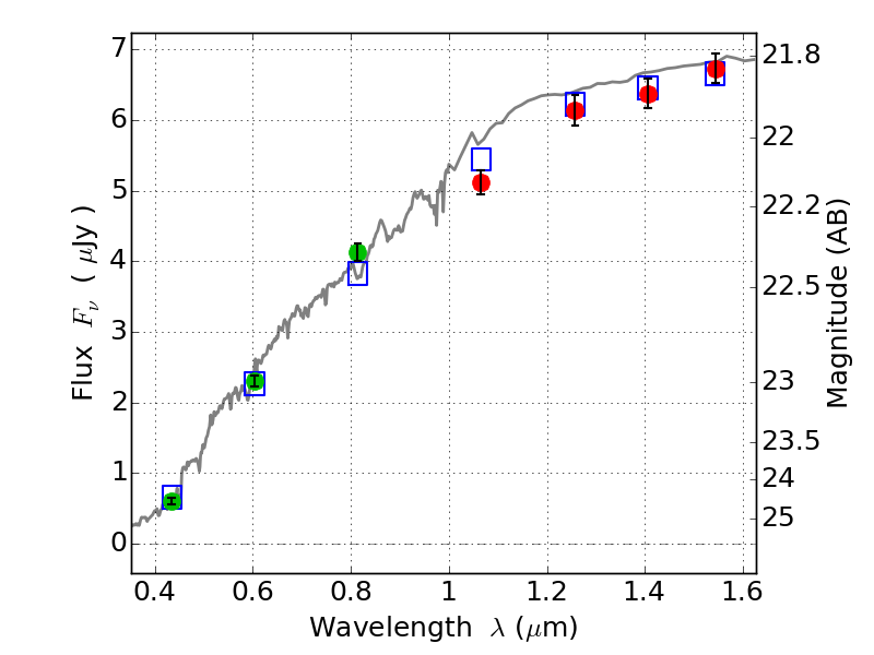
ABELL1758 IR detection object #584

Color images and BPZ results
Catalog: 584.cat
Black segments are analyzed here.   Roll mouse over color images to view segments.
Best viewed in a wide browser window (1200 pixels or more).   Download SED & P(z) plots to view larger versions.
In P(z) plots: Yellow lines mark the cluster redshift z = 0.280,  

Object #584   x,y = (5196, 4546)   RA, Dec = (13:32:37.464, 50:33:36.00) = (203.15610, 50.56000)   BPZ = 0.139 [0.085--0.170]   type = 4.00 (Ell4_A_0)   chisq2 = 0.25   ODDS = 0.95   z_cluster = 0.280