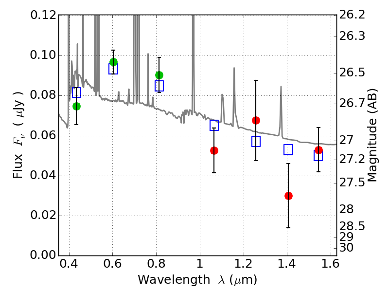
ABELL1300 IR detection object #825
Color images and BPZ results
Catalog: 825.cat
Black segments are analyzed here. Roll mouse over color images to view segments.
Best viewed in a wide browser window (1200 pixels or more). Download SED & P(z) plots to view larger versions.
In P(z) plots: Yellow lines mark the cluster redshift z = 0.307,
Object #825 x,y = (3419, 1919) RA, Dec = (11:31:50.448, -19:55:57.72) = (172.96020, -19.93270) BPZ = 0.070 [0.046--3.205] type = 10.70 (SB11_A_0_l - SB3_B10) chisq2 = 0.95 ODDS = 0.20 z_cluster = 0.307